Linkage of two
nucleotides
by the formation of a 3'-5'
phosphodiester
bond, producing a
dinucleotide
.
Multiple
phosphodiester
bonds form a
polynucleotide
chain.
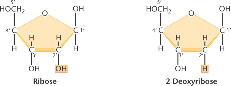
Q: Is this DNA or RNA?
A: This is DNA: it contains a
deoxyribose
sugar.